

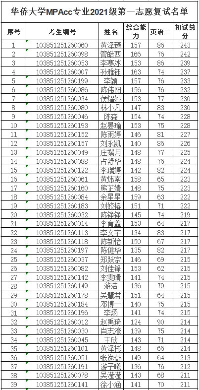
1、我校2021年MPAcc考生初试成绩复试基本要求(含退役大学生士兵专项计划考生):总分194分;英语60分;综合92分。
2、我校MPAcc复试形式为网络远程复试,请参加复试考生实名加入QQ群:652596398(华侨大学2021级MPAcc复试群);经常浏览MPAcc中心主页“招生信息”栏发布的通知。复试具体安排待确定后,将会在本网站和复试群内同时告知。
免责声明:本文内容均来源于网友提供或各大相关网站。由本站编辑整理,仅供个人研究、交流学习使用,不涉及商业盈利目的。
(责任编辑:MPAcc考研网)


